yh533388银河2023年引进高校毕业研究生笔试考场及座位号安排
根据《yh533388银河2023年引进高校毕业研究生工作具体安排》,笔试定于2023年1月3日(星期二)上午8:30-10:00进行。现将笔试考场、座位号及有关注意事项公布如下:
1、上午8:00开始,考生凭本人有效居民身份证原件、在有效期内的临时身份证或有本人照片的户籍证明(不可用电子身份证、驾照、护照或乘车乘机临时身份证明等替代)进入考场,对号入座,将证件放在课桌左上角备查,8:30考生停止入场。
2、考生在开考信号发出后方可开始答题,不得提前交卷离开考场。考生未经监考员同意擅自离开考场的,按违规处理。考生不能以任何理由离开考场后再重返考场。
3、考生应自备黑色签字笔,2B铅笔、橡皮。严禁携带手机、名类手表、电子手环等与考试无关的物品进入考场。考生放在身上的任何通讯工具一经发现,无论关闭与否,均视为违纪处理。
4、笔试内容为专业知识,时长90分钟,满分为100分。
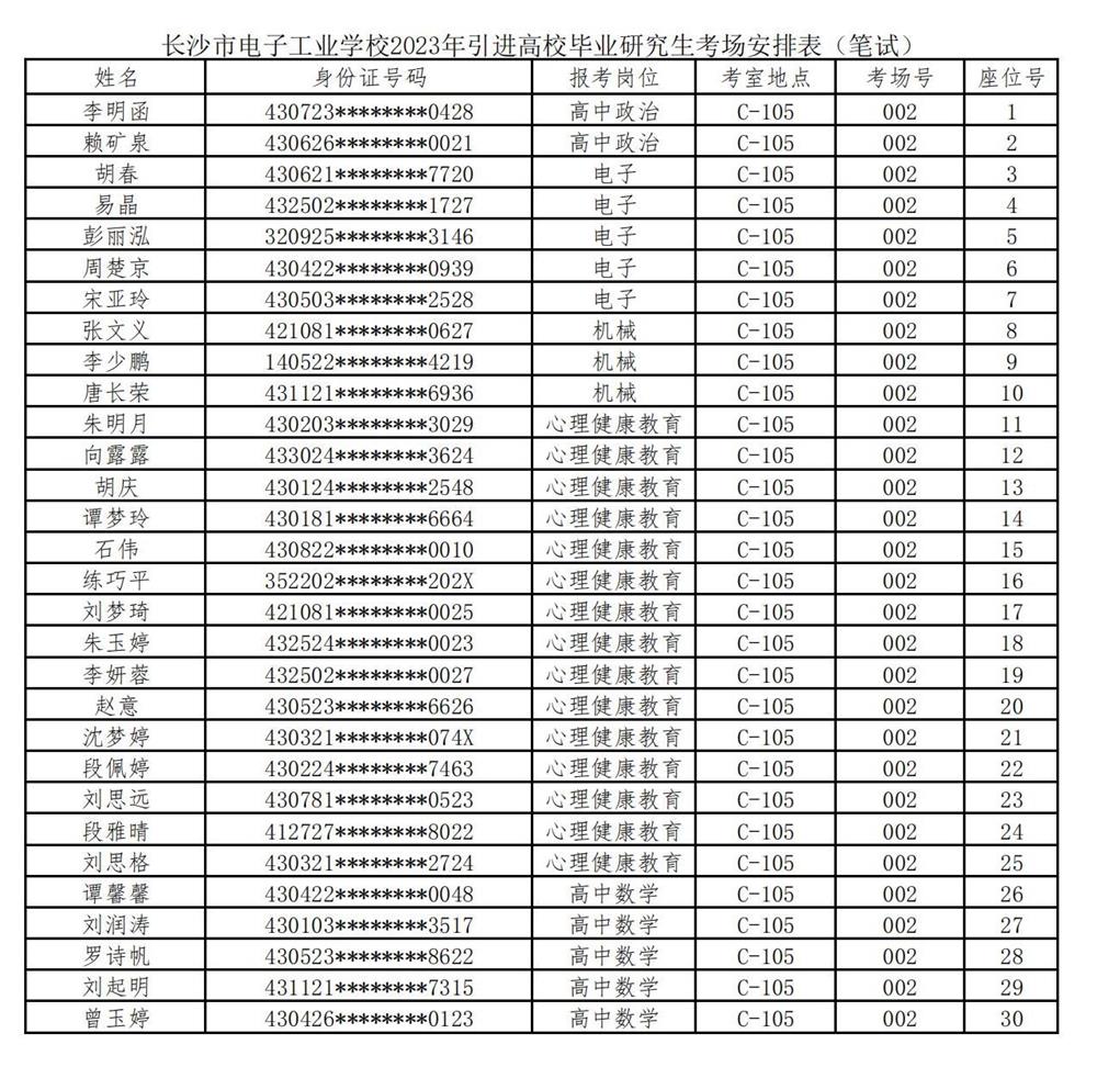
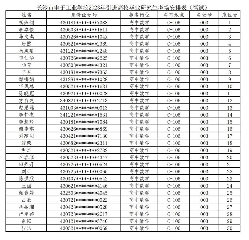
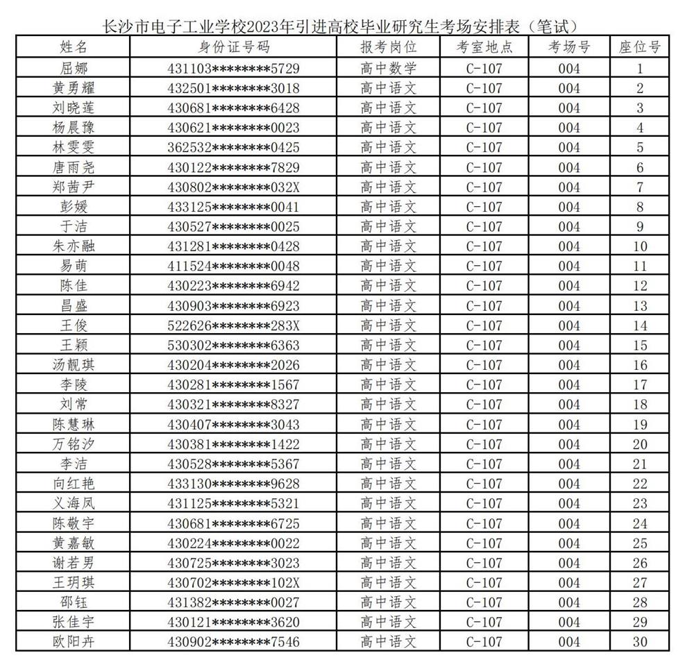
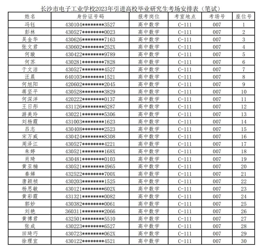
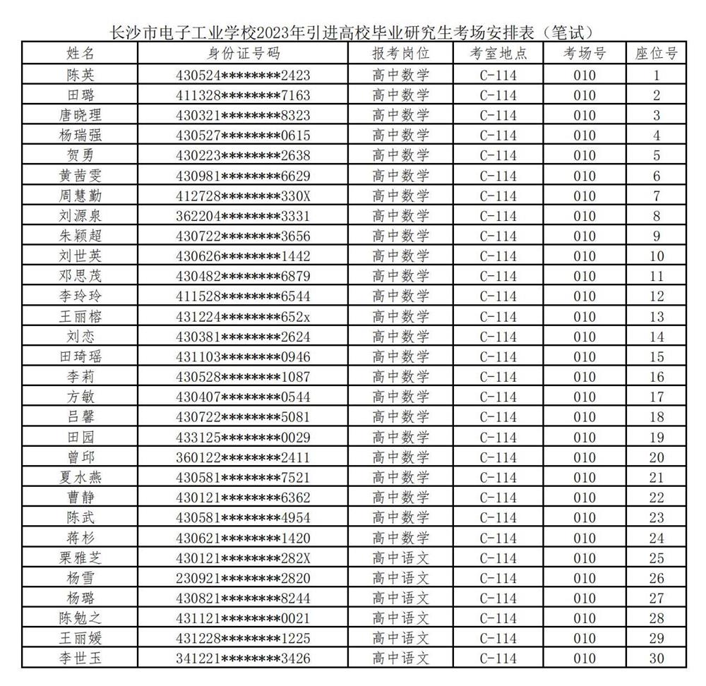
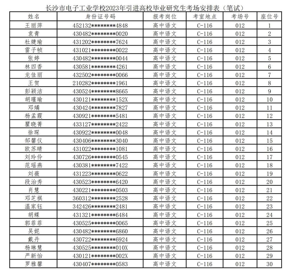
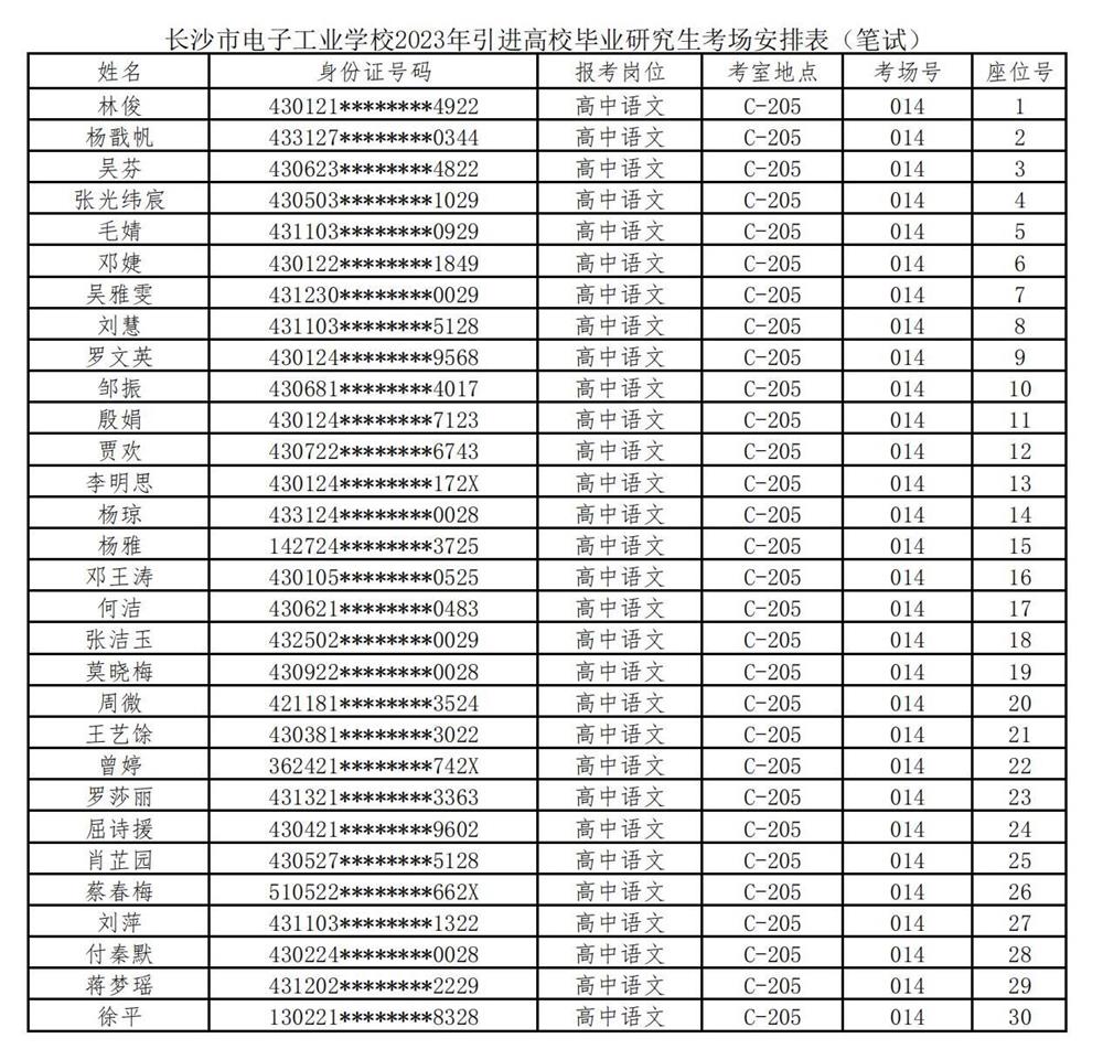
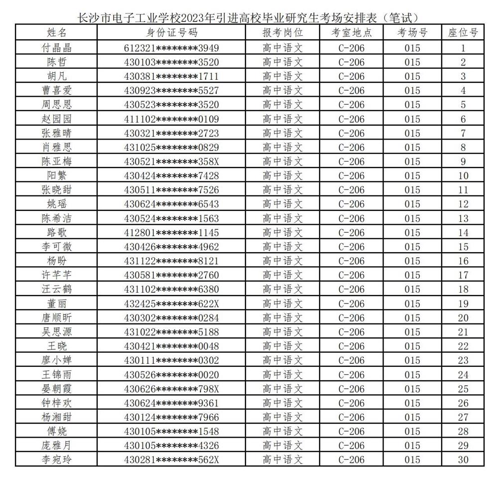
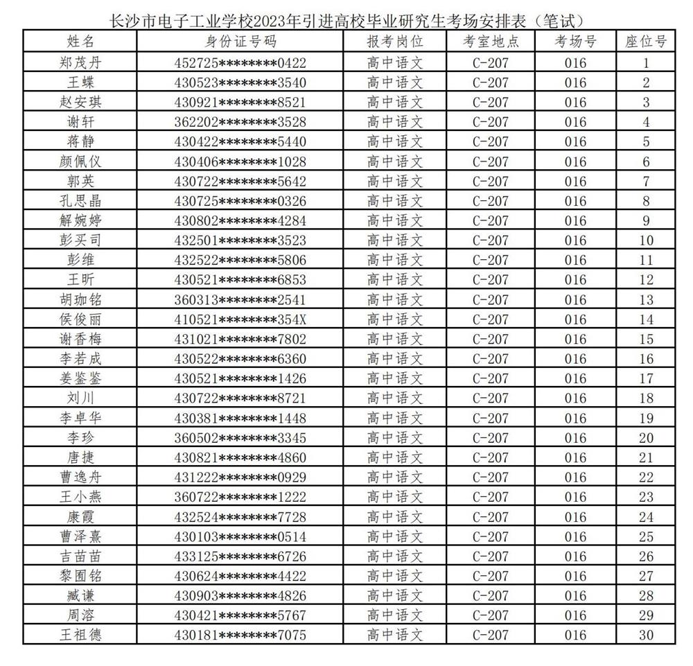
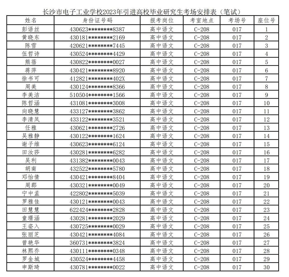
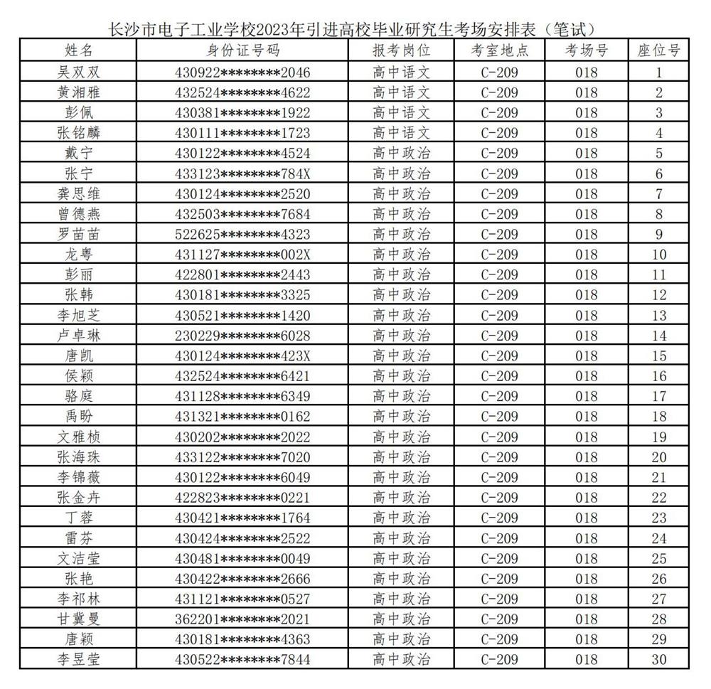
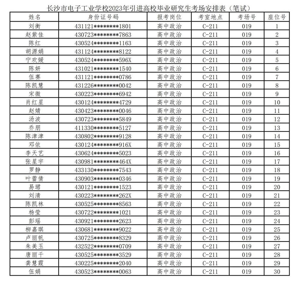
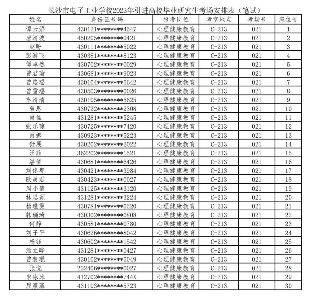
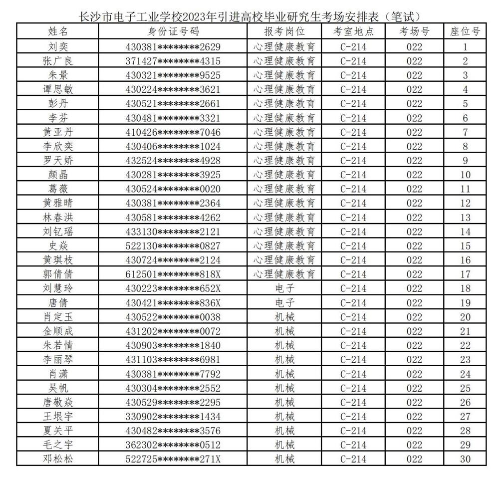
考场号及座位号如下:






















终审:dzb

